Source for header: “Stop Wasting Water” by ╚ DD╔ is licensed under CC BY-SA 2.0.
Tracking the use of illicit drugs continues to be a formidable challenge for researchers, and new work out of Amsterdam shows exciting progress on improving municipal tracking of substance use.
It is notoriously difficult to measure exactly how many people are consuming illicit drugs at any given point due to the illicit nature of using and obtaining the substances. Traditional methods of collecting use information include one-on-one interviews with individuals in groups that are thought to be associated with substance use. However, this estimate is understandably inaccurate, as these fringe groups are not reached equally, the information gathered is not representative of the larger population, and the qualitative nature of the interviews does not allow for quantification. If the illicit drug problem is to be addressed, we need an accurate measure of substance use in a given area.
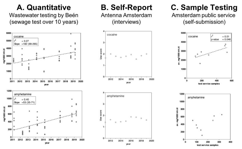
A collaborative effort from Amsterdam University of Applied Sciences, University of Amsterdam, and the KWR Water Research Institute employed a multifaceted approach to increase the accuracy of substance use estimates. Frederic Béen’s group (KWR) used the existing information gathered by qualitative interviews (courtesy of Antenna Amsterdam, a group focused on interviewing individuals related to substance use) and combined it with levels of illicit substances in city wastewater to create a triangulated tracking system (Fig. 1). Incredibly, they sampled sewer water every year at the end of March for ten years to estimate drug usage per roughly 1000 inhabitants (excluding holidays and festivals).

When they graphed this data, they saw an increase in the amount of substance consumption over time between 2011-2020 (Figure 2A). This trend held up for 4 different substances: cocaine, amphetamine, methamphetamine, and MDMA. However, when the group looked at results from panel interviews of various groups, they did not see a change in the amount of reported substance use (Figure 2B). They did, however, see changes in use when they looked at surveys of smaller groups, specifically pub customers and festival and club attendees. Additionally, the scientists analyzed samples presented to the Amsterdam public services. This is an organization that tests the purity of illicit substances that are brought to it by individuals. They found that the number of presented samples correlated highly with wastewater consumption levels for cocaine and MDMA, but not amphetamines (Figure 2C). In total, Beén’s group concluded that only one test (interview self-reporting) could not accurately and consistently estimate substance use among residents, as there are many discrepancies with the qualitative data collection.

In addition to looking at year-to-year trends, the group also used the wastewater to determine levels of illicit drug use throughout each sampled time period. They found that consumption of cocaine and MDMA increases significantly during the weekend as compared to the work-week, which corresponds with previous surveys reporting daily drug use in Amsterdam and other major cities.
Overall, Béen’s group found that wastewater illicit substance levels complemented the survey data collected by Antenna Amsterdam and the number of drug samples presented for purity testing. However, the scientists pointed out that the interview panels do not account for the changing size and composition of nightlife in Amsterdam, and do not reflect the overall population. They speculate this may be why the results from the interview panels do not correlate well with measured drug use. Additionally, the group admits that the quantitative data they have collected does not discriminate between recreational and dependent use, where the latter group might be more stable throughout the year. This makes it difficult to determine whether the yearly increase in drug use is from functional, recreational, or dependent use.

While each method on its own does not paint an accurate image of what the illicit substance use is in a city like Amsterdam, the addition of wastewater analysis to qualitative methods of data gathering provides a much more robust portrait of what is occurring among the inhabitants of the large metropolis. Panel interviews and surveys allow researchers to understand demographic characteristics of users, including age, gender, and education level. City testing services can track the purity and quality of drugs present in the city, and wastewater testing provides a nearly real-time measure of mass drug consumption levels in the city. Taken together, this data allows city officials to make better informed decisions to protect its citizens and provide assistance to those who need it.
| Title | Triangulating Amsterdam’s illicit stimulant use trends by wastewater analysis and recreational drug use monitoring |
| Authors | Thomas L. ter Laak, Erik Emke, Annemieke Benschop, Ton Nabben, Frederic Béen |
| Journal | Forensic Science International |
| Year | 2022 |
| URL | https://www-sciencedirect-com.proxy.cc.uic.edu/science/article/pii/S0379073822002791 |